Exponential Functions, Logarithms & Their Derivatives

Published

September 15, 2025

This lesson provides a thorough treatment of exponential functions and logarithms. We demonstrate via the infinite series for \(e^x\) that it is its own derivative, develop formulas for differentiating arbitrary exponentials such as \(2^x\) and \(10^x\), and introduce the natural logarithm \(\ln(x)\). The lesson concludes with a preview of Euler’s formula, which unifies exponentials, trigonometric functions, and complex numbers in a single identity.

Exponential functions arise wherever a quantity grows or decays:

  • Population growth: bacteria double at regular intervals, following an exponential model.
  • Compound interest: savings grow exponentially over time.
  • Radioactive decay: scientists use exponential decay to date ancient fossils.
  • Sound measurement: decibels employ logarithms to quantify loudness.
  • Earthquakes: the Richter scale is logarithmic — a magnitude 7 earthquake is 10 times stronger than magnitude 6.

The number \(e \approx 2.718\) is the “natural” base for these phenomena. This lesson establishes the origin of \(e\) and demonstrates why it simplifies calculus.

Topics Covered

  • Binomial expansion of \((1 + r/n)^n\) term by term
  • Taking the limit as \(n \to \infty\) to discover the infinite series for \(e^r\)
  • The number \(e \approx 2.718\ldots\) and why it’s special
  • Maclaurin series (power series) — representing functions as infinite polynomials
  • Proving that \(\frac{d}{dx}(e^x) = e^x\) using the power series
  • Derivative of \(a^x\): rewrite as \(e^{x \ln a}\), get \(a^x \cdot \ln(a)\)
  • The natural logarithm \(\ln(x)\) as the inverse of \(e^x\)
  • Proving \(\frac{d}{dx}\ln(x) = \frac{1}{x}\)
  • Preview of Euler’s formula: \(e^{i\theta} = \cos\theta + i\sin\theta\)

Lecture Video

Key Frames from the Lecture

Prerequisites

The Binomial Theorem tells us how to expand \((a + b)^n\):

\[(a + b)^n = \sum_{k=0}^{n} \binom{n}{k} a^{n-k} b^k\]

where \(\binom{n}{k} = \frac{n!}{k!(n-k)!}\) is the binomial coefficient (“\(n\) choose \(k\)”).

For example:

\[(1 + x)^3 = 1 + 3x + 3x^2 + x^3\]

The coefficients \(1, 3, 3, 1\) come from Pascal’s triangle. In this lesson, we apply the binomial theorem to \((1 + r/n)^n\) and then take the limit as \(n \to \infty\).

A factorial is a product of all positive integers up to \(n\):

\[n! = n \times (n-1) \times (n-2) \times \cdots \times 2 \times 1\]

Examples: \(3! = 6\), \(4! = 24\), \(5! = 120\).

By convention, \(0! = 1\).

Factorials grow extremely rapidly — \(10! = 3{,}628{,}800\) and \(20!\) already exceeds \(10^{18}\).

If money is invested at interest rate \(r\) (as a decimal), compounded \(n\) times per year, then after 1 year the balance is multiplied by:

\[\left(1 + \frac{r}{n}\right)^n\]

For example, with \(r = 1\) (100% interest) compounded monthly (\(n = 12\)):

\[\left(1 + \frac{1}{12}\right)^{12} \approx 2.613\]

As the compounding frequency increases without bound — every second, every microsecond — the result converges to \(e \approx 2.718\). This is precisely the limit we establish in this lesson.

The chain rule tells us how to differentiate a function inside another function:

\[\frac{d}{dx} f(g(x)) = f'(g(x)) \cdot g'(x)\]

One proceeds layer by layer: differentiate the outer function, then multiply by the derivative of the inner function.

For example: \(\frac{d}{dx}(3x+1)^5 = 5(3x+1)^4 \cdot 3 = 15(3x+1)^4\).

Key Concepts

From Compound Interest to the Number \(e\)

We start with the compound interest formula and expand it using the binomial theorem:

\[\left(1 + \frac{r}{n}\right)^n = \sum_{k=0}^{n} \binom{n}{k} \left(\frac{r}{n}\right)^k\]

Writing out the binomial coefficient:

\[\binom{n}{k} \frac{r^k}{n^k} = \frac{n(n-1)(n-2)\cdots(n-k+1)}{k! \cdot n^k} \cdot r^k\]

Now consider the coefficient of \(r^k\):

\[\frac{n(n-1)(n-2)\cdots(n-k+1)}{n^k}\]

This is a product of \(k\) fractions: \(\frac{n}{n} \cdot \frac{n-1}{n} \cdot \frac{n-2}{n} \cdots\)

Each fraction looks like \(1 - \frac{\text{something}}{n}\). As \(n \to \infty\), every one of these fractions approaches 1. So the whole coefficient approaches \(\frac{1}{k!}\), and we get:

\[\lim_{n \to \infty}\left(1 + \frac{r}{n}\right)^n = \sum_{k=0}^{\infty} \frac{r^k}{k!} = 1 + r + \frac{r^2}{2!} + \frac{r^3}{3!} + \frac{r^4}{4!} + \cdots\]

Explore — watch the compound interest value approach \(e\) as \(n\) increases:

Set \(r = 1\) and watch the blue curve approach \(e \approx 2.718\) (red dashed line) as \(x\) grows. Try other values of \(r\)!

The Definition of \(e\)

Plugging \(r = 1\) into our series:

\[e = \sum_{k=0}^{\infty} \frac{1}{k!} = 1 + 1 + \frac{1}{2} + \frac{1}{6} + \frac{1}{24} + \frac{1}{120} + \cdots \approx 2.71828\ldots\]

The number \(e\) is irrational — its decimal expansion neither terminates nor repeats. It stands alongside \(\pi\) as one of the most important constants in mathematics.

Power Series (Maclaurin Series)

The expression we found is called a power series — we’ve written \(e^r\) as an infinite polynomial:

\[e^r = 1 + r + \frac{r^2}{2!} + \frac{r^3}{3!} + \frac{r^4}{4!} + \cdots\]

This is also called the Maclaurin series for \(e^r\). The idea of representing functions as infinite sums of powers of \(x\) is one of the most powerful tools in all of mathematics. It lets us turn complicated functions into polynomials that we can differentiate, integrate, and compute with easily.

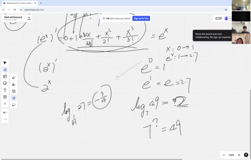
Proving \(\frac{d}{dx}(e^x) = e^x\)

This is one of the most elegant results in calculus. We differentiate the power series term by term:

\[e^x = 1 + x + \frac{x^2}{2!} + \frac{x^3}{3!} + \frac{x^4}{4!} + \frac{x^5}{5!} + \cdots\]

Take the derivative of each term:

\[\frac{d}{dx}(e^x) = 0 + 1 + \frac{2x}{2!} + \frac{3x^2}{3!} + \frac{4x^3}{4!} + \frac{5x^4}{5!} + \cdots\]

Now simplify each fraction. For instance, \(\frac{3x^2}{3!} = \frac{3x^2}{3 \cdot 2!} = \frac{x^2}{2!}\). In general, \(\frac{kx^{k-1}}{k!} = \frac{x^{k-1}}{(k-1)!}\).

So we get:

\[\frac{d}{dx}(e^x) = 1 + x + \frac{x^2}{2!} + \frac{x^3}{3!} + \frac{x^4}{4!} + \cdots = e^x\]

The series reproduces itself. This is the defining property that makes \(e^x\) special: it is its own derivative.

Explore — see that \(e^x\) and its derivative are the same curve:

Drag the slider for \(a\). Observe that the slope of the tangent line always equals the height of the point — a consequence of \(\frac{d}{dx}(e^x) = e^x\).

Interactive: \(e^x\) Tangent Line — Slope Equals Value

ex with Animated Tangent Line

The tangent line's slope at any point equals the function value ex — the defining property of e.

The orange tangent line slides along \(e^x\). Notice: the slope value always equals the function value – this is the defining property \(\frac{d}{dx}e^x = e^x\).

Derivative of \(a^x\) (Any Exponential Base)

To compute \(\frac{d}{dx}(2^x)\) or \(\frac{d}{dx}(10^x)\), the technique is to rewrite any exponential using \(e\):

\[a^x = e^{x \ln a}\]

Why? Because \(e^{\ln a} = a\), so \(e^{x \ln a} = (e^{\ln a})^x = a^x\).

Now apply the chain rule. Let \(u = x \ln a\):

\[\frac{d}{dx}(a^x) = \frac{d}{dx}(e^u) = e^u \cdot \frac{du}{dx} = e^{x \ln a} \cdot \ln a = a^x \cdot \ln a\]

ImportantKey Idea: Derivative of Any Exponential

To differentiate an exponential with any base, rewrite it using \(e\) and apply the chain rule. The result picks up a factor of \(\ln a\) – this is why \(e\) is the “cleanest” base (since \(\ln e = 1\)).

\[\boxed{\frac{d}{dx}(a^x) = a^x \cdot \ln a}\]

Note that when \(a = e\), we obtain \(\ln e = 1\), so \(\frac{d}{dx}(e^x) = e^x \cdot 1 = e^x\). The results are consistent.

Explore — compare \(a^x\) with its derivative \(a^x \ln a\) for different bases:

Set \(a = e \approx 2.718\) and the two curves overlap perfectly — this is the distinguishing property of \(e\).

The Natural Logarithm

The natural logarithm \(\ln(x)\) is the inverse of \(e^x\). It answers the question:

\[\ln(a) = \text{"what power of } e \text{ gives } a\text{?"}\]

So \(\ln(e) = 1\) (because \(e^1 = e\)), \(\ln(1) = 0\) (because \(e^0 = 1\)), and \(\ln(e^3) = 3\).

Key properties:

  • \(e^{\ln x} = x\) for all \(x > 0\)
  • \(\ln(e^x) = x\) for all \(x\)
  • \(\ln(ab) = \ln a + \ln b\)
  • \(\ln(a^n) = n \ln a\)

Derivative of \(\ln(x) = \frac{1}{x}\)

Start with the identity:

\[e^{\ln x} = x\]

Differentiate both sides using the chain rule:

\[e^{\ln x} \cdot \frac{d}{dx}(\ln x) = 1\]

But \(e^{\ln x} = x\), so:

\[x \cdot \frac{d}{dx}(\ln x) = 1\]

ImportantKey Idea: Derivative of the Natural Logarithm

The derivative of \(\ln(x)\) turns a “transcendental” function into a simple algebraic one. This result comes straight from differentiating the identity \(e^{\ln x} = x\) and solving.

\[\boxed{\frac{d}{dx}\ln(x) = \frac{1}{x}}\]

This is remarkable: the derivative of \(\ln(x)\) is \(\frac{1}{x}\) — a simple algebraic function! And later we’ll see the flip side: the integral of \(\frac{1}{x}\) is \(\ln|x| + C\).

Explore — the slope of \(\ln(x)\) at any point equals \(\frac{1}{x}\):

Drag the slider and compare: the tangent line’s slope at \(x = a\) always equals \(\frac{1}{a}\) (green dashed curve).

Interactive: ln(x) Secant-to-Tangent — Derivative Approaching 1/x

Secant Line on ln(x) Approaching the Tangent

As Δx shrinks toward 0, the secant line becomes the tangent, and its slope approaches 1/x.

Press Play to watch \(\Delta x\) shrink toward zero. The orange secant line smoothly rotates into the purple tangent line, and the secant slope converges to \(1/x_0\).

Preview: Euler’s Formula

As a remarkable consequence, if we substitute an imaginary number \(i\theta\) into the power series for \(e^x\):

\[e^{i\theta} = 1 + i\theta + \frac{(i\theta)^2}{2!} + \frac{(i\theta)^3}{3!} + \frac{(i\theta)^4}{4!} + \cdots\]

Using \(i^2 = -1\), \(i^3 = -i\), \(i^4 = 1\), and separating real and imaginary parts, we get Euler’s formula:

ImportantKey Idea: Euler’s Formula

This single equation unifies exponentials, trigonometry, and imaginary numbers. It comes from plugging \(i\theta\) into the power series for \(e^x\) and separating real and imaginary parts.

\[\boxed{e^{i\theta} = \cos\theta + i\sin\theta}\]

This connects exponentials, trigonometry, and complex numbers in one equation. Setting \(\theta = \pi\) gives Euler’s identity: \(e^{i\pi} + 1 = 0\) — often called the most beautiful equation in mathematics.

Use Euler’s formula and the power series for \(e^{i\theta}\) to derive:

  • The Maclaurin series for \(\cos\theta\) (collect the real parts)
  • The Maclaurin series for \(\sin\theta\) (collect the imaginary parts)

Then differentiate those series term by term to show that \(\frac{d}{d\theta}\sin\theta = \cos\theta\) and \(\frac{d}{d\theta}\cos\theta = -\sin\theta\).

Cheat Sheet

What you want Formula
Definition of \(e\) \(e = \displaystyle\sum_{k=0}^{\infty} \frac{1}{k!} = 1 + 1 + \frac{1}{2} + \frac{1}{6} + \cdots \approx 2.718\)
Power series for \(e^r\) \(e^r = \displaystyle\sum_{k=0}^{\infty} \frac{r^k}{k!} = 1 + r + \frac{r^2}{2!} + \frac{r^3}{3!} + \cdots\)
Derivative of \(e^x\) \(\frac{d}{dx}(e^x) = e^x\)
Derivative of \(a^x\) \(\frac{d}{dx}(a^x) = a^x \cdot \ln a\)
Natural log definition $(a) = $ “what power of \(e\) gives \(a\)?”
Derivative of \(\ln(x)\) \(\frac{d}{dx}\ln(x) = \frac{1}{x}\)
Euler’s formula \(e^{i\theta} = \cos\theta + i\sin\theta\)

The Big Chain of Ideas

\[\text{Compound interest} \;\longrightarrow\; \text{Binomial expansion} \;\longrightarrow\; \text{Let } n \to \infty \;\longrightarrow\; \text{Power series for } e^r \;\longrightarrow\; \frac{d}{dx}e^x = e^x\]