Antiderivative of the Semicircle: Geometry Meets Calculus

Published

November 6, 2025

This lesson demonstrates that the area under a semicircle can be decomposed into a circular sector and a right triangle – two regions whose areas have elementary formulas. This geometric decomposition yields the antiderivative of \(\sqrt{r^2 - x^2}\) without algebraic substitution techniques, and the result is then verified by differentiating with the product rule and chain rule.

The integral \(\int \sqrt{r^2 - x^2}\,dx\) connects geometry and calculus in a fundamental way. It arises in numerous applications:

  • Geodesy and navigation: calculating distances along curved paths on Earth’s surface involves integrals containing \(\sqrt{r^2 - x^2}\)
  • Structural engineering: designing arches, tunnels, and domes requires computing areas of circular cross-sections
  • Medical imaging: MRI and CT scanners reconstruct circular slices of the body using these integrals
  • Celestial mechanics: orbital mechanics involves integrating expressions with \(\sqrt{r^2 - x^2}\) to compute swept areas (Kepler’s second law)
  • Computer graphics: rendering curves and circles on screens requires decomposing circular regions into triangles and sectors – precisely the decomposition developed in this lesson

By decomposing the region under a semicircle into a sector and a triangle, we obtain the antiderivative through geometric reasoning, and then verify the result using the product rule and chain rule.

Topics Covered

  • The antiderivative \(\int \sqrt{r^2 - x^2}\,dx\) as the area under the upper semicircle
  • Decomposing the area into a circular sector plus a right triangle
  • Writing the sector area using \(\arccos(x/r)\)
  • Writing the triangle area as \(\frac{1}{2}x\sqrt{r^2 - x^2}\)
  • The relationship \(\arcsin(x/r) + \arccos(x/r) = \frac{\pi}{2}\)
  • Verifying the antiderivative by differentiation using the product rule and chain rule
  • Boundary condition: \(A(-r) = 0\) determines the constant of integration

Lecture Video

Key Frames from the Lecture

Prerequisites

An antiderivative of a function \(f(x)\) is a function \(F(x)\) whose derivative equals \(f(x)\):

\[F'(x) = f(x)\]

We write this using integral notation:

\[\int f(x)\,dx = F(x) + C\]

The \(C\) is the constant of integration – since the derivative of any constant is zero, there are infinitely many antiderivatives that differ by a constant. The value of \(C\) is determined by imposing a boundary condition (substituting a known value).

A full circle of radius \(r\) centered at the origin satisfies:

\[x^2 + y^2 = r^2\]

Solving for \(y\) gives two solutions. The upper semicircle is:

\[y = \sqrt{r^2 - x^2}\]

This curve exists only for \(-r \le x \le r\), since we need \(r^2 - x^2 \ge 0\). The area under this curve from \(-r\) to \(r\) is exactly \(\frac{1}{2}\pi r^2\) (half the area of the circle).

The arcsine function \(\arcsin(u)\) answers: “what angle has sine equal to \(u\)?” Similarly, arccosine \(\arccos(u)\) answers: “what angle has cosine equal to \(u\)?”

Key facts:

  • \(\arcsin(u)\) returns an angle in \(\left[-\frac{\pi}{2}, \frac{\pi}{2}\right]\)
  • \(\arccos(u)\) returns an angle in \([0, \pi]\)
  • They are complementary: \(\arcsin(u) + \arccos(u) = \frac{\pi}{2}\) for all \(|u| \le 1\)
  • \(\frac{d}{dx}\arcsin(u) = \frac{1}{\sqrt{1 - u^2}}\) and \(\frac{d}{dx}\arccos(u) = \frac{-1}{\sqrt{1 - u^2}}\)

These derivatives are why arcsine and arccosine show up naturally when integrating expressions involving \(\sqrt{r^2 - x^2}\).

The product rule states that the derivative of a product \(f(x) \cdot g(x)\) is:

\[\frac{d}{dx}[f(x)\cdot g(x)] = f'(x)\cdot g(x) + f(x)\cdot g'(x)\]

Each factor is differentiated in turn while the other is held fixed, and the results are summed. Note that the derivative is not \(f'(x) \cdot g'(x)\).

The chain rule states that the derivative of a composition \(h(g(x))\) is:

\[\frac{d}{dx}[h(g(x))] = h'(g(x)) \cdot g'(x)\]

One takes the derivative of the outer function (evaluated at the inner function), then multiplies by the derivative of the inner function. For example:

\[\frac{d}{dx}\sqrt{r^2 - x^2} = \frac{1}{2}(r^2 - x^2)^{-1/2} \cdot (-2x) = \frac{-x}{\sqrt{r^2 - x^2}}\]

The \((-2x)\) comes from the chain rule – it is the derivative of the inner function \(r^2 - x^2\).

A circular sector is a “pie slice” of a circle. If the circle has radius \(r\) and the sector subtends an angle \(\phi\) (in radians), the area is:

\[A_{\text{sector}} = \frac{1}{2}r^2 \phi\]

This formula works because the sector is the fraction \(\frac{\phi}{2\pi}\) of the full circle, and the full circle has area \(\pi r^2\):

\[A_{\text{sector}} = \frac{\phi}{2\pi} \cdot \pi r^2 = \frac{1}{2}r^2 \phi\]

Key Concepts

The Problem: Antiderivative of the Semicircle

We want to find the antiderivative:

\[\int \sqrt{r^2 - x^2}\,dx\]

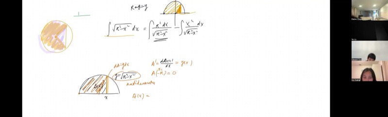
The function \(y = \sqrt{r^2 - x^2}\) is the upper semicircle of radius \(r\). Geometrically, the antiderivative \(A(x)\) represents the area swept under the curve from \(x = -r\) up to the moving boundary \(x\).

Interactive demonstration – the upper semicircle \(y = \sqrt{r^2 - x^2}\) with adjustable radius:

Drag the slider \(a\) to sweep the shaded area \(A(a)\) from \(-r\) to \(a\). This swept area is precisely the antiderivative being computed.

Interactive: Semicircle Area Sweep

Area Accumulation Under the Semicircle √(R² - x²)

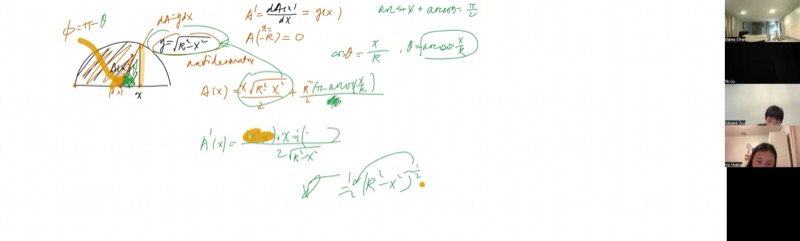
Press “Sweep” to watch the area accumulate under the semicircle from \(-R\) to \(x\). The red-shaded region is the circular sector (area \(= \frac{1}{2}R^2[\pi - \arccos(x/R)]\)), and the green-shaded region is the right triangle (area \(= \frac{1}{2}x\sqrt{R^2-x^2}\)). Their sum gives the total area \(A(x)\).

Connecting Area to Antiderivative

As \(x\) advances by a tiny amount \(dx\), the area grows by one thin vertical strip of width \(dx\) and height \(y\):

\[dA = y\,dx = \sqrt{r^2 - x^2}\,dx\]

This tells us the rate of change of the swept area:

\[\frac{dA}{dx} = y = \sqrt{r^2 - x^2}\]

So \(A(x)\) is indeed an antiderivative of \(\sqrt{r^2 - x^2}\). We also have the boundary condition \(A(-r) = 0\), since no area has been swept at the starting point.

The Key Insight: Area = Sector + Triangle

Instead of using algebraic substitution tricks, we decompose the shaded region geometrically. The area under the semicircle from \(-r\) to \(x\) can be split into two parts:

  1. A circular sector (the “pie slice” from the negative \(x\)-axis to the radius drawn to the point)
  2. A right triangle (the remaining piece between the radius and the vertical line at \(x\))

Interactive demonstration – the sector and triangle decomposition:

The red line is the radius to the point \((a, \sqrt{r^2 - a^2})\). The green lines mark the right triangle. The sector is the pie-shaped region between the negative \(x\)-axis and the radius.

Writing the Sector Area

The sector is bounded by the angle \(\phi\) measured from the negative \(x\)-axis to the radius. We introduce the angle \(\theta\) from the positive \(x\)-axis:

\[\cos\theta = \frac{x}{r} \implies \theta = \arccos\!\left(\frac{x}{r}\right)\]

The sector angle is then:

\[\phi = \pi - \theta = \pi - \arccos\!\left(\frac{x}{r}\right)\]

So the sector area is:

\[A_{\text{sector}} = \frac{1}{2}r^2\phi = \frac{1}{2}r^2\left[\pi - \arccos\!\left(\frac{x}{r}\right)\right]\]

Writing the Triangle Area

The right triangle has:

  • Base = \(x\) (the horizontal distance from the origin)
  • Height = \(y = \sqrt{r^2 - x^2}\) (the vertical coordinate on the semicircle)

So the triangle area is:

\[A_{\text{triangle}} = \frac{1}{2} \cdot x \cdot \sqrt{r^2 - x^2}\]

The Complete Antiderivative

Adding the two pieces:

ImportantKey Idea: Area = Sector + Triangle

The area under a semicircle from \(-r\) to \(x\) decomposes into a circular sector and a right triangle. Each piece has an elementary formula, and their sum gives the full antiderivative – no algebraic substitution is required.

\[\boxed{A(x) = \frac{1}{2}r^2\!\left[\pi - \arccos\!\left(\frac{x}{r}\right)\right] + \frac{1}{2}\,x\sqrt{r^2 - x^2}}\]

Boundary condition check: At \(x = -r\), the swept area should be zero.

  • \(\arccos(-r/r) = \arccos(-1) = \pi\), so the sector term gives \(\frac{1}{2}r^2[\pi - \pi] = 0\).
  • \(\sqrt{r^2 - r^2} = 0\), so the triangle term gives \(0\).

Indeed \(A(-r) = 0\), confirming the formula.

Connection to Arcsine

Earlier work showed that part of the antiderivative involves \(\arcsin(x/r)\). There is no contradiction, as the following identity shows:

ImportantKey Idea: Arcsine and Arccosine Are Complementary

The arcsine and arccosine of the same value always add up to \(\frac{\pi}{2}\) (a right angle). This identity lets you freely switch between the two forms of the antiderivative – they differ only by a constant.

\[\arcsin\!\left(\frac{x}{r}\right) + \arccos\!\left(\frac{x}{r}\right) = \frac{\pi}{2}\]

This means \(\arccos(x/r) = \frac{\pi}{2} - \arcsin(x/r)\). Substituting:

\[\pi - \arccos\!\left(\frac{x}{r}\right) = \pi - \frac{\pi}{2} + \arcsin\!\left(\frac{x}{r}\right) = \frac{\pi}{2} + \arcsin\!\left(\frac{x}{r}\right)\]

So we can rewrite the antiderivative equivalently as:

\[A(x) = \frac{1}{2}r^2\!\left[\frac{\pi}{2} + \arcsin\!\left(\frac{x}{r}\right)\right] + \frac{1}{2}\,x\sqrt{r^2 - x^2}\]

The constant \(\frac{1}{2}r^2 \cdot \frac{\pi}{2} = \frac{\pi r^2}{4}\) is just a constant of integration – it vanishes when you differentiate. So both forms are equally valid!

Interactive: Trig Substitution Geometry

Trig Substitution: x = R sin(θ) on the Right Triangle

Press “Animate theta” or drag the slider. The right triangle shows the trig substitution \(x = R\sin\theta\) geometrically: the hypotenuse is \(R\), the opposite side (horizontal) is \(x = R\sin\theta\), and the adjacent side (vertical) is \(\sqrt{R^2 - x^2} = R\cos\theta\). The substitution relationships update in real time below.

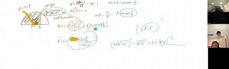
Verifying by Differentiation

To confirm our geometric result, we differentiate \(A(x)\) and check that we recover \(\sqrt{r^2 - x^2}\).

We need:

\[\frac{d}{dx}\!\left[\frac{1}{2}r^2\!\left(\pi - \arccos\!\frac{x}{r}\right) + \frac{1}{2}\,x\sqrt{r^2 - x^2}\right]\]

Term 1 – the sector piece:

\[\frac{d}{dx}\!\left[\frac{1}{2}r^2\!\left(\pi - \arccos\!\frac{x}{r}\right)\right] = \frac{1}{2}r^2 \cdot \frac{1}{\sqrt{1 - x^2/r^2}} \cdot \frac{1}{r}\]

Since \(\frac{d}{dx}\arccos(u) = \frac{-1}{\sqrt{1-u^2}}\) and the minus signs cancel:

\[= \frac{r}{2} \cdot \frac{r}{\sqrt{r^2 - x^2}} = \frac{r^2}{2\sqrt{r^2 - x^2}}\]

Term 2 – the triangle piece, using the product rule on \(\frac{1}{2}x \cdot \sqrt{r^2 - x^2}\):

\[\frac{d}{dx}\!\left[\frac{1}{2}\,x\sqrt{r^2 - x^2}\right] = \frac{1}{2}\!\left[\underbrace{1 \cdot \sqrt{r^2 - x^2}}_{\text{derivative of } x,\;\text{copy } g} + \underbrace{x \cdot \frac{-2x}{2\sqrt{r^2 - x^2}}}_{\text{copy } x,\;\text{chain rule on } g}\right]\]

The chain rule gives us the inner derivative \((-2x)\) of \(r^2 - x^2\):

\[= \frac{1}{2}\!\left[\sqrt{r^2 - x^2} - \frac{x^2}{\sqrt{r^2 - x^2}}\right]\]

Combining over the common denominator \(\sqrt{r^2 - x^2}\):

\[= \frac{1}{2}\cdot\frac{(r^2 - x^2) - x^2}{\sqrt{r^2 - x^2}} = \frac{r^2 - 2x^2}{2\sqrt{r^2 - x^2}}\]

Adding both terms:

\[A'(x) = \frac{r^2}{2\sqrt{r^2 - x^2}} + \frac{r^2 - 2x^2}{2\sqrt{r^2 - x^2}} = \frac{2r^2 - 2x^2}{2\sqrt{r^2 - x^2}}\]

\[= \frac{2(r^2 - x^2)}{2\sqrt{r^2 - x^2}} = \frac{r^2 - x^2}{\sqrt{r^2 - x^2}} = \sqrt{r^2 - x^2}\]

ImportantKey Idea: Geometry and Calculus Agree

When you differentiate the geometric formula (sector + triangle) using the product rule and chain rule, you get back the semicircle \(\sqrt{r^2 - x^2}\). This confirms that the geometric decomposition is a valid antiderivative – two completely different approaches give the same answer.

The derivative of the geometrically derived \(A(x)\) is indeed \(\sqrt{r^2 - x^2}\). Geometry and calculus yield the same result.

Why the Constant Does Not Matter

Any two antiderivatives of the same function differ by a constant. Since \(\frac{d}{dx}(\text{constant}) = 0\), the constant disappears when differentiating. This is why both the arcsine version and the arccosine version are equally valid – they differ only by the constant \(\frac{\pi r^2}{4}\).

Cheat Sheet

What you want Formula
Upper semicircle equation \(y = \sqrt{r^2 - x^2}\), valid for \(-r \le x \le r\)
Antiderivative (arccosine form) \(\displaystyle\int\!\sqrt{r^2 - x^2}\,dx = \frac{r^2}{2}\!\left[\pi - \arccos\!\frac{x}{r}\right] + \frac{x}{2}\sqrt{r^2 - x^2} + C\)
Antiderivative (arcsine form) \(\displaystyle\int\!\sqrt{r^2 - x^2}\,dx = \frac{r^2}{2}\arcsin\!\frac{x}{r} + \frac{x}{2}\sqrt{r^2 - x^2} + C\)
Sector area \(A_{\text{sector}} = \frac{1}{2}r^2\phi\) where \(\phi\) is the angle in radians
Triangle area \(A_{\text{triangle}} = \frac{1}{2} \cdot \text{base} \cdot \text{height}\)
Arcsine-arccosine identity \(\arcsin(u) + \arccos(u) = \frac{\pi}{2}\)
Derivative of \(\arcsin(u)\) \(\frac{1}{\sqrt{1-u^2}}\)
Derivative of \(\arccos(u)\) \(\frac{-1}{\sqrt{1-u^2}}\)
Product rule \((fg)' = f'g + fg'\)
Chain rule \(\frac{d}{dx}[h(g(x))] = h'(g(x))\cdot g'(x)\)

The Big Idea

\[\underbrace{\int \sqrt{r^2 - x^2}\,dx}_{\text{calculus problem}} = \underbrace{A_{\text{sector}}}_{\frac{1}{2}r^2(\pi - \arccos\frac{x}{r})} + \underbrace{A_{\text{triangle}}}_{\frac{1}{2}x\sqrt{r^2 - x^2}} \quad \longleftrightarrow \quad \text{geometry solves calculus!}\]